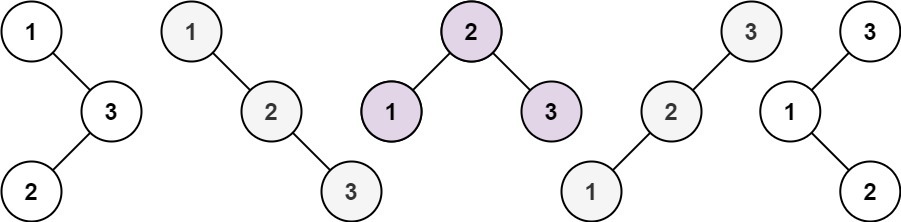
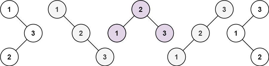
Given an integer n, return the number of structurally unique BST's (binary search trees) which has exactly n nodes of unique values from 1 to n.
Example 1:

Input: n = 3
Output: 5
Example 2:
Input: n = 1
Output: 1
Constraints:
- 1 <= n <= 19
숫자 n이 주어졌을 때 1~n까지 숫자를 이용하여 유니크한 BST 구조를 몇개가 존재하는지 묻는 문제이다.
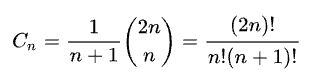
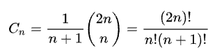
이 문제는 카탈란 수(Catalan number) 수열로 해결할 수 있다.


카탈란 수 점화식을 재귀함수로 구현하게 되면 아래 코드와 같다.
class Solution:
def numTrees(self, n: int) -> int:
# catalan_num
def calcul(num: int) -> int:
if num == 0:
return 1
else:
return calcul(num - 1) * 2 * (2 * num + 1) // (num + 2)
return calcul(n - 1)
문제 출처 : https://leetcode.com/problems/unique-binary-search-trees/
Unique Binary Search Trees - LeetCode
Unique Binary Search Trees - Given an integer n, return the number of structurally unique BST's (binary search trees) which has exactly n nodes of unique values from 1 to n. Example 1: [https://assets.leetcode.com/uploads/2021/01/18/uniquebstn3.jpg] Inp
leetcode.com
Github : https://github.com/kkkkang1009/leetcode/blob/master/leetcode_96.py
GitHub - kkkkang1009/leetcode: leetcode
leetcode. Contribute to kkkkang1009/leetcode development by creating an account on GitHub.
github.com
'IT > LeetCode' 카테고리의 다른 글
| [LeetCode] 91. Decode Ways (0) | 2022.12.08 |
|---|---|
| [LeetCode] 88. Merge Sorted Array (0) | 2022.11.15 |
| [LeetCode] 83. Remove Duplicates from Sorted List (0) | 2022.10.27 |
| [LeetCode] 70. Climbing Stairs (0) | 2022.08.19 |
| [LeetCode] 69. Sqrt(x) (0) | 2022.08.19 |
댓글