Given the head of a sorted linked list, delete all duplicates such that each element appears only once. Return the linked list sorted as well.
Example 1:

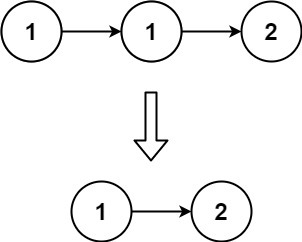
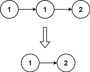
Input: head = [1,1,2]
Output: [1,2]
Example 2:

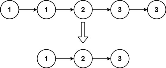
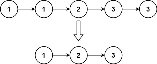
Input: head = [1,1,2,3,3]
Output: [1,2,3]
Constraints:
- The number of nodes in the list is in the range [0, 300].
- -100 <= Node.val <= 100
- The list is guaranteed to be sorted in ascending order.
주어진 ListNode에서 중복을 제거하면 된다.
최초 빈값을 체크한 후 nowNode와 nextNode를 이용하여 중복된 값이면 제거한다.
class Solution:
def deleteDuplicates(self, head: 'ListNode') -> 'ListNode':
if head == None or head.next == None:
return head
else:
nowNode = head
nextNode = head.next
while True:
if nowNode.val == nextNode.val:
if nextNode.next != None:
nextNode = nextNode.next
nowNode.next = nextNode
else:
nowNode.next = None
break
else:
if nextNode.next != None:
nowNode = nextNode
nextNode = nextNode.next
else:
break
return head
문제 출처 : https://leetcode.com/problems/remove-duplicates-from-sorted-list/
Remove Duplicates from Sorted List - LeetCode
Level up your coding skills and quickly land a job. This is the best place to expand your knowledge and get prepared for your next interview.
leetcode.com
Github : https://github.com/kkkkang1009/leetcode/blob/master/leetcode_83.py
GitHub - kkkkang1009/leetcode: leetcode
leetcode. Contribute to kkkkang1009/leetcode development by creating an account on GitHub.
github.com
반응형
'IT > LeetCode' 카테고리의 다른 글
| [LeetCode] 91. Decode Ways (0) | 2022.12.08 |
|---|---|
| [LeetCode] 88. Merge Sorted Array (0) | 2022.11.15 |
| [LeetCode] 70. Climbing Stairs (0) | 2022.08.19 |
| [LeetCode] 69. Sqrt(x) (0) | 2022.08.19 |
| [LeetCode] 67. Add Binary (0) | 2022.08.19 |
댓글